PICA: Trastorno Nutricional en la Enfermedad Renal Crónica

a Servicio Nefrologia. Hospital Universitario de Fuenlabrada, Madrid
b Unidad de Investigación Médica en Enfermedades Renales. Hospital de Especialidades, Centro Médico Nacional de Occidente, Instituto Mexicano del Seguro Social, Guadalajara, México.

Palabras clave

pica, trastorno conducta alimentaria, alteraciones del apetito, pagofagia, consumo de objetos sin valor calórico, malnutrición.

Introducción

La pica es un trastorno caracterizado por la ingestión persistente de sustancias no nutritivas. Ha sido considerada como un trastorno de la conducta alimentaria, una manifestación de enfermedad psiquiátrica, una respuesta a deficiencias especialmente de micronutrientes, así como una expresión de factores sociales como la pobreza o el hambre. Esta heterogeneidad conceptual refleja que la pica puede comportarse tanto como entidad clínica definida como síntoma inespecífico de procesos subyacentes.

En la práctica clínica, suele manifestarse a través de formas específicas de ingesta compulsiva de sustancias no alimentarias. Entre ellas destacan la pagofagia (ingesta de hielo), la geofagia (tierra), la amilofagia (almidón), la litofagia (piedras) y la tricofagia (pelo). De todas ellas, la pagofagia es la forma más frecuentemente descrita en el ámbito clínico y presenta una estrecha asociación con el déficit de hierro. Asimismo, en la literatura médica es habitual que estas conductas se describan de manera indirecta mediante términos anglosajones como craving for ice, ice chewing, non-food cravings, compulsive ingestion of non-nutritive substances o abnormal eating behavior, lo que contribuye a su infradiagnóstico.

En el contexto de la enfermedad renal crónica (ERC), la pica adquiere una relevancia particular. Los pacientes con ERC presentan alteraciones complejas del estado nutricional y del comportamiento alimentario, condicionadas por factores como inflamación crónica, uremia, alteraciones del gusto (disgeusia), anorexia urémica y deficiencias de micronutrientes, especialmente hierro [1].
En este escenario, la pica puede interpretarse como un fenotipo conductual del trastorno nutricional, estrechamente vinculado al síndrome de desgaste proteico-energético.

Desde el punto de vista clínico, puede contribuir activamente a empeorar el estado del paciente, debido a que se asocia con mayor riesgo de anemia, alteraciones electrolíticas, interferencias en la absorción de nutrientes y deterioro del estado nutricional. Sin embargo, su verdadero impacto clínico sigue estando probablemente infraestimado debido a su escasa identificación sistemática y a la limitada evidencia disponible.

En conjunto, la pica en la ERC representa un fenómeno complejo, multifactorial e insuficientemente reconocido, que requiere una aproximación integradora que combine aspectos nutricionales, metabólicos y conductuales [2].

Epidemiología 

La pica ha sido descrita clásicamente como un comportamiento de riesgo en poblaciones vulnerables, especialmente en individuos con discapacidad intelectual o trastornos del neurodesarrollo, siendo uno de los comportamientos autolesivos más graves. En este contexto, se ha estimado que hasta un 30% de los casos atendidos por complicaciones relacionadas con la pica no tenían un diagnóstico previo, lo que refleja un importante grado de infradiagnóstico. Asimismo, aproximadamente un 37% de los pacientes presentan recurrencias, lo que pone la dificultad para erradicarla incluso tras su identificación y tratamiento [3].

La mayor parte de la evidencia epidemiológica clásica procede de poblaciones específicas como mujeres embarazadas, niños y personas con trastornos del espectro autista [4][5][6][7][8][9][10]. En mujeres embarazadas se han descrito de forma consistente niveles más bajos de hemoglobina y hematocrito, así como una mayor prevalencia de deficiencia de hierro y zinc. En población pediátrica, se ha asociado con mayor frecuencia a desnutrición, parasitosis intestinal y anemia. Estas alteraciones comparten elementos fisiopatológicos con los pacientes con la ERC, particularmente en lo que respecta a la alta prevalencia de anemia y alteraciones nutricionales.

En los últimos años, la evidencia en pacientes renales, especialmente en tratamiento sustitutivo renal, ha comenzado a caracterizar de forma más específica la epidemiología de la pica en este grupo. Estudios en población en diálisis han mostrado que la pica es una entidad relativamente frecuente y probablemente infradiagnosticada, asociada a peor estado nutricional y a factores como mayor tiempo en diálisis, menor nivel educativo y elevación de marcadores inflamatorios [11]. En población pediátrica en diálisis también se ha descrito como un problema relevante y escasamente reconocido, lo que refuerza la necesidad de su búsqueda activa en la práctica clínica [12].

A pesar de estos avances, la pica continúa siendo un trastorno insuficientemente identificado, en parte debido a la ausencia de síntomas específicos y a la falta de una anamnesis dirigida. En muchos casos, el diagnóstico se establece únicamente tras la aparición de complicaciones clínicas, lo que limita su abordaje precoz [2].

Diagnóstico 

El término "pica" proviene del vocablo latino que denomina a la urraca (Pica pica), ave conocida por su tendencia a ingerir objetos diversos [13]. Desde el punto de vista clínico, el manual diagnóstico y estadístico de los trastornos mentales (DSM-5-TR, Diagnostic and Statistical Manual of Mental Disorders, Text Revision), clasifica la pica como un trastorno de la conducta alimentaria caracterizado por la ingestión persistente, durante al menos un mes, de sustancias no nutritivas y no alimentarias, inapropiadas para el nivel de desarrollo del individuo y no justificadas por prácticas culturales o sociales [14]. Además, si el comportamiento alimentario se produce en el contexto de otro trastorno mental (por ejemplo, discapacidad intelectual, trastorno del espectro del autismo, esquizofrenia), o afección del estado de salud (incluido el embarazo y la ERC), es suficientemente grave para justificar la atención clínica adicional [14]
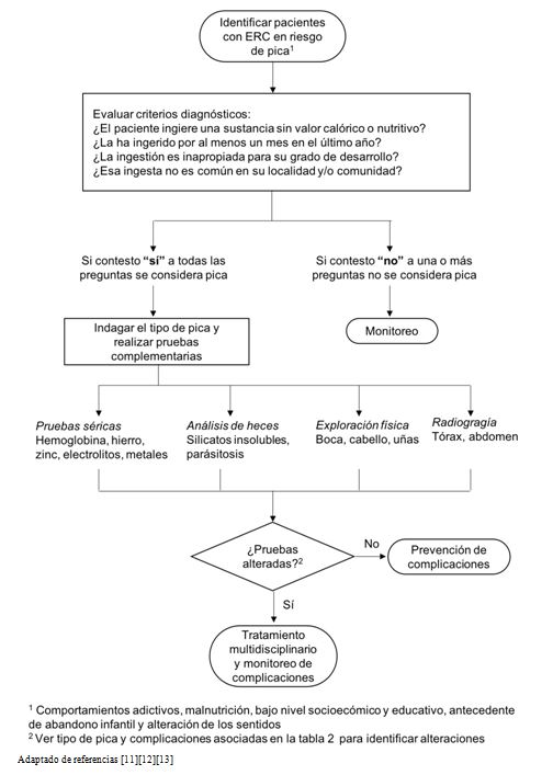
Ante la sospecha clínica, es fundamental realizar una evaluación sistemática basada en los criterios del DSM-5-TR, que permita confirmar el diagnóstico, identificar la sustancia ingerida y valorar las posibles complicaciones asociadas. En la (Figura 1) algoritmo modificado) se propone un algoritmo diagnóstico.
La evaluación clínica debe incluir una exploración física dirigida a detectar alteraciones dentarias, gingivitis, lesiones orales o presencia de cuerpos extraños. Las pruebas complementarias incluyen la detección de anemia, deficiencias nutricionales y alteraciones electrolíticas o hepáticas. El estudio coprológico puede evidenciar la eliminación de materiales no digeribles, como silicatos, entre 24 y 48 horas tras la ingesta [15], así como la presencia de parasitosis por examen coproparasitológico. La radiografía de abdomen, pueden utilizarse para identificar cuerpos extraños y mediante técnicas endoscópicas se puede observar tierra, cabello o monedas [16].
Como los hallazgos clínicos son inespecíficos, el diagnóstico depende en gran medida de una anamnesis dirigida y de la capacidad del paciente o sus familiares para reconocer y comunicar este comportamiento. Dado que se trata de un trastorno frecuentemente asociado a estigmatización, la entrevista clínica debe realizarse en un entorno de confianza, evitando juicios y facilitando la expresión del paciente [16]. En este sentido, la sospecha clínica y la experiencia del profesional sanitario son determinantes, ya que con frecuencia el diagnóstico se establece tras la aparición de complicaciones [2].
En la actualidad, persisten importantes limitaciones en la identificación y monitorización, así como una insuficiente formación del personal sanitario para su detección precoz. Esta situación contribuye a que sus complicaciones sean el elemento que señale la sospecha diagnostica, incluso dentro del ámbito sanitario [17].

Mecanismos fisiopatológicos

La etiología no se ha podido describir de forma completa, por lo que se han propuesto múltiples mecanismos entre los que destacan, las deficiencias nutricionales, factores sociales y psicológicos, así como alteraciones conductuales complejas [15].
La teoría del comportamiento adictivo es una de las hipótesis fisiopatológicas más relevante, según la cual podría compartir mecanismos con otras conductas de dependencia, como el consumo de nicotina. En este sentido, se ha observado que los antojos y comportamientos asociados pueden persistir incluso tras la corrección de la causa fisiológica o psicológica subyacente, lo que sugiere la existencia de mecanismos de refuerzo independientes [18] [19].
Desde el punto de vista neuroconductual, se ha propuesto que la pica pudiera representar una manifestación dentro del espectro obsesivo-compulsivo. En pacientes en diálisis, se ha descrito la ingesta repetitiva de diversas sustancias como un comportamiento compulsivo que, aunque puede asociarse a alteraciones metabólicas, no siempre se acompaña de anomalías analíticas evidentes [20].
En ERC estos mecanismos se asocian a inflamación crónica, uremia, alteraciones del gusto y del apetito, así como frecuentes deficiencias de micronutrientes, especialmente hierro, que pueden favorecer la aparición de conductas alimentarias anómalas. Adicionalmente, la enfermedad renal puede actuar como un factor de estrés emocional relevante, favoreciendo la aparición o perpetuación de esta conducta, teniendo en cuenta la predisposición individual o cultural [21]. Los propios pacientes describen este comportamiento como ritualista y con capacidad para aliviar la ansiedad, lo que refuerza su mantenimiento en el tiempo [22]. En algunos casos, se ha señalado que conductas específicas como la pagofagia pueden intensificarse en situaciones de estrés [23]. Otros factores implicados en el origen y mantenimiento incluyen el abandono, la falta de supervisión en poblaciones vulnerables, la pobreza, el hambre, así como síntomas físicos como náuseas, vómitos, aumento de la salivación y alteraciones del gusto y del olfato [14] [24].
En conjunto, estos hallazgos sugieren que la pica en la ERC no responde a una única causa, sino que constituye un fenómeno multifactorial en el que convergen mecanismos biológicos, nutricionales, psicológicos y sociales. 
Los principales mecanismos implicados en la pica se resumen en la (Tabla 1).

Repercusiones clínicas y complicaciones

Las complicaciones de la pica han sido ampliamente descritas, identificándose cuatro grandes grupos: toxicidad por sustancias ingeridas, obstrucción del tracto gastrointestinal, alteraciones en el balance energético y trastornos nutricionales derivados del desplazamiento de la ingesta alimentaria [25].
Estas complicaciones adquieren especial relevancia en pacientes renales, porque la ingestión de determinadas sustancias puede favorecer alteraciones electrolíticas potencialmente graves, mientras que la sustitución de alimentos por sustancias no nutritivas puede contribuir al deterioro del estado nutricional.
Entre las complicaciones más graves se encuentra la formación de bezoares (masas sólidas y compactas de material no digerido como pelo, fibras vegetales, medicamentos, que se acumulan en el tracto gastrointestinal, principalmente en el estómago, que pueden ocasionar obstrucción intestinal). Dentro de este grupo destaca el síndrome de Rapunzel, asociado a la tricofagia, descrito principalmente en población pediátrica y en pacientes con trastornos psiquiátricos [26].
Todas estas complicaciones adquieren un significado clínico particular debido a su interacci ón con las alteraciones metabólicas propias de la enfermedad. Se han descrito alteraciones electrolíticas potencialmente graves asociadas a la pica, como hiperpotasemia secundaria al consumo de arcilla u otras sustancias ricas en potasio [26] [27], así como alcalosis metabólica e hipernatremia relacionadas con la ingesta de bicarbonato u otros compuestos alcalinos  [28] [29] [30]. Estas alteraciones pueden ser especialmente relevantes en pacientes en diálisis, en quienes pueden favorecer descompensaciones agudas y aumentar el riesgo cardiovascular.
Por otra parte, la ingestión crónica, puede dar lugar a intoxicaciones por metales pesados u otras sustancias tóxicas, así como a complicaciones digestivas e infecciosas, cuyo manejo puede ser más complejo en pacientes con ERC y en los que la eliminación puede estar comprometida [31]. Asimismo, determinadas formas pueden contribuir a una sobrecarga hídrica. En el caso de la pagofagia, puede suponer una ingesta adicional significativa de líquidos, favoreciendo la ganancia de peso interdialítica, el mal control de la presión arterial y la sobrecarga de volumen [21] [32] [33].
Por todo esto, la ingestion de sustancias no nutritivas pueden agravar la anemia, interferir con la absorción de micronutrientes y favorecer la progresión de la malnutrición [27].

Tratamiento de la pica

 

Los expertos en psicofarmacología consideran que no existe ningún fármaco específico para el tratamiento de la pica. En general, el uso de fármacos se ajusta a la patología psiquiátrica subyacente o a los trastornos de conducta susceptibles de tratamiento, siendo parte de un abordaje que incluye medidas psicológicas, sociales y educativas. El tratamiento debe abordar tanto sus causas como sus consecuencias clínicas. En la (Tabla 2) se muestra un resumen del tratamiento [34] de acuerdo con el tipo de pica, complicaciones y factores predisponentes.

El abordaje psicológico incluye la aplicación de estímulos aversivos para favorecer el desarrollo de rechazo, además de complementarlo con otras estrategias psicoeducativas con la finalidad de implicar al paciente en la comprensión del proceso, características y riesgos asociados [34].

Las estrategias del tratamiento cognitivo-conductual, permiten modificar este comportamiento mediante la identificación de los pensamientos asociados al inicio de la ingesta de sustancias no nutritivas, así como de las emociones y conductas derivadas. Este enfoque facilita la reestructuración de los esquemas cognitivos subyacentes [35].

Asimismo, la inclusión de profesionales de la nutrición, el apoyo familiar, la entrevista motivacional, las técnicas de manejo de la ansiedad, el entrenamiento en habilidades sociales y asertivas, la terapia individual cuando sea necesario y la prevención de recaídas, constituyen elementos fundamentales del tratamiento. Este abordaje multidisciplinar ha demostrado ser más eficaz que la psicofarmacoterapia como estrategia única [14].

En pacientes con ERC el abordaje terapéutico adquiere una relevancia especial por las alteraciones hidroelectrolíticas y por el deterioro del estado nutricional mencionados. Por ello, es fundamental una intervención que incluya la monitorización de estos parámetros y la adaptación individualizada de las recomendaciones dietéticas.

No existe un patrón único de tratamiento, pero además de las estrategias mencionadas se deben de tener en cuenta la formación de la familia y cuidadores en el reconocimiento y control de los estímulos asociados a la pica, siendo un elemento clave para el éxito terapéutico [35].

Evidencia sobre pica en enfermedad renal crónica

Existe evidencia limitada que analice la epidemiología en población renal, y la evidencia disponible procede fundamentalmente de pacientes en diálisis crónica, tanto en hemodiálisis (HD) como en diálisis peritoneal (DP), siendo la mayoría de los datos derivados de estudios observacionales y series de casos. En la (Tabla 3) se muestran los principales resultados de estos estudios, en los que la prevalencia de pica varía entre el 10 y el 46%. [20] [21] [28] [29] [30] [31] [32] [33] [36] [37] [38] [39] [40] [41] [42]
El estudio de Stillman MA et al [20] reportó una prevalencia del 38% en una cohorte de 292 pacientes en diálisis, mientras que Obialo C et al [38] describieron una prevalencia del 22% en pacientes afroamericanos en HD. En población pediátrica, Katsoufis C et al [37] observaron una prevalencia del 46%, y Ward P et al [21] reportaron un 16% en pacientes incidentes en terapia sustitutiva renal. Otros estudios, como el de Ojanen S et al [36], identificaron pica en el 20% de los pacientes evaluados, mientras que Litt AS et al [32], en uno de los primeros trabajos publicados, describieron una frecuencia del 10%, si bien con limitaciones metodológicas. En conjunto, la mayoría de los estudios incluyen población en hemodiálisis y señalan que la forma más frecuente de pica es la pagofagia.

Aspectos fisiopatológicos asociados a la enfermedad renal crónica

Anemia

Es una complicación frecuente en la ERC y se asocia con un aumento de la morbimortalidad cardiovascular, especialmente en pacientes en diálisis. Aunque el déficit de eritropoyetina constituye el principal mecanismo, su etiología es multifactorial, destacando las alteraciones del metabolismo del hierro [43]. Se ha observado que el déficit de hierro es más frecuente en sujetos con geofagia, y que determinadas formas de pica, como la amilofagia, pueden interferir con la absorción intestinal de hierro [44]. En un estudio experimental, Talkington et al [45] demostraron que la ingesta de tierra o almidón reduce la absorción de hierro, favoreciendo la aparición de anemia ferropénica.

Asimismo, se ha descrito la asociación entre pagofagia y anemia, con mejoría del comportamiento tras la reposición de hierro [23] [46]. Estos hallazgos apoyan la hipótesis de que, al menos en algunos casos, la pica podría representar una manifestación clínica de deficiencias nutricionales, aunque su mecanismo exacto permanece sin aclarar [47].

Alteraciones de electrólitos y micronutrientes

Las alteraciones en los patrones de alimentación pueden condicionar deficiencias de micronutrientes a través de diferentes mecanismos, incluyendo el desplazamiento de alimentos nutritivos, la interferencia en la absorción intestinal o la presencia de infecciones asociadas [44].

El zinc ha sido uno de los más estudiados. Se ha descrito una mayor prevalencia de déficit de zinc en pacientes con pica, así como mejoría de los síntomas tras su suplementación en algunos casos [48] [49] [50] [51]. No obstante, el mecanismo por el cual estas alteraciones lo desarrollan no está completamente definido. Estudios experimentales han sugerido que el déficit de zinc puede influir en la regulación del apetito a nivel central [52] [53].

Por otra parte, el consumo de sustancias como tierra o arcilla puede contribuir a las alteraciones electrolíticas, especialmente de potasio, calcio y fósforo [40]. Sin embargo, la evidencia sobre el impacto directo de la pica en las concentraciones plasmáticas de electrólitos sigue siendo limitada [54].

Alteraciones del estado de nutrición

Las alteraciones del estado nutricional son frecuentes, especialmente en aquellos en diálisis. Se estima que la prevalencia de desnutrición leve a moderada en pacientes en DP oscila entre el 30-35%, y la desnutrición grave entre el 8-10% [55], mientras que en HD la malnutrición afecta aproximadamente al 24-37% de los pacientes [56].

Los estudios publicados en pica, no han incorporado de forma sistemática una evaluación nutricional estructurada, lo que dificulta establecer su impacto real. Únicamente Katsoufis C et al [37] han descrito una asociación entre bajo peso y pica en población pediátrica.

Aunque la pagofagia puede percibirse como una práctica inocua e incluso, en ocasiones, ser recomendado para el control de la sed [57], su carácter compulsivo lo sitúa dentro del espectro de la pica [22][38][40]. Este comportamiento puede contribuir a una ingesta inadecuada de líquidos y a una reducción del apetito [21], con potencial repercusión sobre el estado nutricional. Se ha estimado que la ingesta excesiva de hielo puede suponer un aporte adicional de hasta 750 ml de agua al día [58], lo que puede favorecer la ganancia de peso interdialítica [33], así como un peor control de la presión arterial, sobrecarga de volumen y un aumento del riesgo cardiovascular [41].

La evidencia disponible no permite determinar si la pica constituye un factor causal de desnutrición o, por el contrario, una manifestación secundaria a alteraciones nutricionales preexistentes. Asimismo, se desconoce la relación con el posible desplazamiento de alimentos por sustancias no nutritivas o el aumento del consumo hídrico.

Intoxicaciones por pica

Se ha descrito un incremento en el riesgo de intoxicaciones, entre las que destacan: la Intoxicación por plomo, que tiene como consecuencia hiperamonemia con edema cerebral y encefalopatía; intoxicación por zinc por consumo de monedas de cobre y anemia sideroblástica asociada a la pica por monedas a base de hierro; además de hipernatremia por ingesta de cloruro de sodio. También puede existir intoxicación por organofosforados, tanto de forma aguda como de forma crónica; intoxicación por mercurio asociado a pica por papel impreso e intoxicación por arsénico o por aluminio en pacientes con geofagia, entre otras. Otras complicaciones pueden ser la anemia hemolítica por paradiclorobenceno [34]. No puede garantizarse que las técnicas de diálisis sean capaces de eliminar de forma eficaz estas sustancias ni de prevenir sus efectos tóxicos; por ello, resulta especialmente relevante la identificación y vigilancia para prevenir el riesgo de intoxicación.

Brechas del conocimiento sobre pica en la enfermedad renal crónica

A pesar de la creciente evidencia sobre la pica en pacientes renales, persisten lagunas de conocimiento en relación con su epidemiología, fisiopatología y relevancia clínica. Asimismo, se ha propuesto que la ERC pudiera favorecer la aparición o perpetuación, especialmente en pacientes con predisposición individual o cultural [38].

Aunque algunos estudios han descrito prevalencias relevantes en pacientes en diálisis y han sugerido su asociación con el estado nutricional [11] [59] , la mayoría presentan limitaciones metodológicas, incluyendo tamaños muestrales reducidos, heterogeneidad en la definición de pica y ausencia de una evaluación sistemática de variables nutricionales, dietéticas y psicosociales. Además, existe una escasa representación de pacientes en estadios no avanzados de ERC, lo que limita la generalización de los resultados.

Por otra parte, la evidencia más reciente sugiere que la pica podría asociarse a patrones de estilo de vida menos saludables, menor adherencia a cambios dietéticos y conductuales, y hábitos alimentarios inadecuados en pacientes en diálisis [60] lo que refuerza la necesidad de un abordaje integral que trascienda el enfoque puramente clínico o bioquímico.

En este contexto, resulta prioritario:
1.    Determinar la utilidad de la búsqueda sistemática de pica en la práctica clínica.
2.    Identificar los factores sociodemográficos, clínicos, bioquímicos, nutricionales y conductuales asociados a su presencia.
3.    Establecer su relación con el estado nutricional, la adherencia terapéutica y otros desenlaces clínicos relevantes. 

La identificación de estas brechas es esencial para el desarrollo de estrategias diagnósticas y terapéuticas específicas, así como para mejorar el abordaje integral de los pacientes con ERC y pica.

Conceptos Clave 

1.    El diagnóstico de pica es complejo y frecuentemente se realiza de forma tardía, tras la aparición de complicaciones clínicas.
2.    La etiología de la pica es multifactorial y no completamente esclarecida, implicando mecanismos biológicos, nutricionales, psicológicos y sociales.
3.    Las complicaciones derivan principalmente de la toxicidad de las sustancias ingeridas, la obstrucción del tracto gastrointestinal y las alteraciones en la ingesta energética, con especial relevancia en pacientes con enfermedad renal crónica (ERC).
4.    En pacientes con ERC, la pica puede exacerbar alteraciones propias de la enfermedad, como la anemia, los trastornos electrolíticos y el deterioro del estado nutricional, incrementando su impacto clínico.

Tablas

Tabla 1.
Tabla 1.
Tabla 2.
Tabla 2.
Tabla 3.
Tabla 3.

Figuras

Figura 1.
Figura 1.

Referencias bibliográficas

1 . Fouque D, Pelletier S, Mafra D, Chauveau P. Nutrition and chronic kidney disease. Kidney Int. 2011;80(4):348-357. PMID: 21562470
2 . Sayetta RB: Pica: An overview. Am Fam Phys 1986; 33: 181-5. http://www.ncbi.nlm.nih.gov/pubmed/?term=Am+Fam+Phys+1986%3B+33%3A+181-5
3 . Decker CJ. Pica in the Mentally Handicapped: a 15-year Surgical Perspective. Can J Surg 1993; 36(6):551-4. http://www.ncbi.nlm.nih.gov/pubmed/?term=Can+J+Surg+1993%3B+36%286%29%3A551-4
4 . Keith L, Evenhouse H, Webster A. Amylophagia during pregnancy. Obstet Gynecol 1968; 32: 415-418. http://www.ncbi.nlm.nih.gov/pubmed/?term=Obstet+Gynecol+1968%3B+32%3A+415-418
5 . Edwards CH, Johnson AA, Knight EM, et al. Pica in an urban environment. J Nutr 1994;124(6 Suppl): 9545-62S.
6 . Rainville A. Pica Practices of Pregnant Women are Associated with Lower Maternal Hemoglobin Level at Delivery. J Am Diet Assoc. 1998; 98: 293¿6 http://www.ncbi.nlm.nih.gov/pubmed/?term=1998%3B+98%3A+293%E2%80%936
7 . Robinson BA, Tolan W, Golding-Beecher O. Childhood pica. Some aspects of the clinical profile in Manchester, Jamaica. West Indian Med J 1990; 39: 20-6. http://www.ncbi.nlm.nih.gov/pubmed/?term=West+Indian+Med+J+1990%3B+39%3A+20-6
8 . Corbett RW, Ryan C, Weinrich SP. Pica in pregnancy: does it affect pregnancy outcomes? Am J Matern Child Nurs 2003; 28: 183-9. http://www.ncbi.nlm.nih.gov/pubmed/?term=Pica+in+pregnancy%3A+does+it+affect+pregnancy+outcomes%3F+Am+J+Matern+Child+Nurs+2003%3B+28%3A+183-9
9 . Rastam M. Eating disturbances in autism spectrum disorders with focus on adolescent and adult years. Clinical Neuropsych 2008; 5: 31-42.
10 . Shannon M, Graef JW. Lead intoxication in children with pervasive developmental disorders. J Toxicol Clin 1996; 34: 177-81. http://www.ncbi.nlm.nih.gov/pubmed/?term=J+Toxicol+Clin+1996%3B+34%3A+177-81
11 . Orozco-González CN, Cortés-Sanabria L, Cueto-Manzano AM, et al. Prevalence of Pica in Patients on Dialysis and its Association With Nutritional Status. J Ren Nutr. 2019;29(2):143-148. PMID: 30322787
12 . Katsoufis CP, Kertis M, McCullough J, et al. Pica: an important and unrecognized problem in pediatric dialysis patients. J Ren Nutr. 2012;22(6):567-571. PMID: 22296917
13 . Brown EL, James ME. Pica consumption in hemodialysis patients. Am Kidney Fund Newsletter 1986; 3:1-3, 5-6.
14 . American Psychiatric Association. Diagnostic and Statistical Manual of Mental Disorders (DSM V). Masson Editorial. 2013. http://www.ncbi.nlm.nih.gov/pubmed/?term=2013
15 . Woywodt A, Kiss A. Geophagia: the history of earth eating. J R Soc Med 2002; 95: 143-6. http://www.ncbi.nlm.nih.gov/pubmed/?term=J+R+Soc+Med+2002%3B+95%3A+143-6
16 . Waller BR, Pendergrass LB. Index of suspicion. Case 3. Strangulated hernia of the small intestine. Pediatr Rev 1995;16:433, 435-6 http://www.ncbi.nlm.nih.gov/pubmed/?term=Pediatr+Rev+1995%3B16%3A433%2C+435-6
17 . Stein DJ, Bouwer C, Van Heerden B. Pica and the obsessive-compulsive spectrum disorders. S Afr Med J 1996; 86: 1586-8. http://www.ncbi.nlm.nih.gov/pubmed/?term=S+Afr+Med+J+1996%3B+86%3A+1586-8
18 . Rose EA, Porcerelli JH, Neale AV. Pica: common but commonly missed. J. Am. Board Fam. Pract. 2000;13(5): 353-8. http://www.ncbi.nlm.nih.gov/pubmed/?term=2000%3B13%285%29%3A+353-8
19 . Young SL, Wilson MJ, Miller D, Hillier S. Toward a comprehensive approach to the collection and analysis of pica substances, with emphasis on geophagic materials. PLoS One 2008; 3: e3147. http://www.ncbi.nlm.nih.gov/pubmed/?term=PLoS+One+2008%3B+3%3A+e3147
20 . Stillman MA, Gonzalez EA. The incidence of pica in a sample of dialysis patients. J Psychol Couns 2009; 1: 66-93.
21 . Ward P, Kutner NG. Reported pica behavior in a sample of incident dialysis patients. J Ren Nutr 1999; 9:14-20. http://www.ncbi.nlm.nih.gov/pubmed/?term=J+Ren+Nutr+1999%3B+9%3A14-20
22 . Scott C, Cochran S. Pica through the ages. Renalink 2002; 3(1): 7-9. http://www.ncbi.nlm.nih.gov/pubmed/?term=Renalink+2002%3B+3%281%29%3A+7-9
23 . Cooksey NR. Pica and olfactory craving of pregnancy: how deep are the secrets? Birth 1995; 22: 129-37. http://www.ncbi.nlm.nih.gov/pubmed/?term=Pica+and+olfactory+craving+of+pregnancy%3A+how+deep+are+the+secrets%3F+Birth+1995%3B+22%3A+129-37
24 . Masson SA, Y Ellis CR, Jo C, Schnoes, MA. Eating Disorder: Pica. Medicine Journal 2001; Volume 2(6). http://www.ncbi.nlm.nih.gov/pubmed/?term=Medicine+Journal+2001%3B+Volume+2%286%29
25 . Maravilla AM, Berk RN. The radiographic diagnosis of pica. Am J Gastroenterol 1978; 70: 94-9. http://www.ncbi.nlm.nih.gov/pubmed/?term=Am+J+Gastroenterol+1978%3B+70%3A+94-9
26 . Sharma NL, Sharma RC, Mahajan VK, Sharma RC, Chaudan D, et al. Trichotillomania and trichophagia leading to trichobezoar. J Dermatol 2000; 27(1):24-6. http://www.ncbi.nlm.nih.gov/pubmed/?term=J+Dermatol+2000%3B+27%281%29%3A24-6
27 . Gelfand MC, Zarate A, Knepshield JH: Geophagia. A cause of life threatening hyperkalemia in patients with chronic renal failure. JAMA 1975; 234: 738-40. http://www.ncbi.nlm.nih.gov/pubmed/?term=JAMA+1975%3B+234%3A+738-40
28 . Bleyer AJ, Appel RG. Metabolic alkalosis due to pica in a hemodialysis patient. Nephron. 1998;79(4):483-484. PMID: 9689171
29 . Sarwal A, et al. Life-threatening alkalosis from baking soda pica in an end stage renal disease hemodialysis patient. Hemodial Int. 2022;26(2):E16-E18. PMID: 34907640.
30 . Sharma S, Ehlayel MS. Metabolic alkalosis in peritoneal dialysis - beyond the obvious: Answers. Pediatr Nephrol. 2022;37(9):2075-2077. PMID: 35275278
31 . Abu-Hamdan DK, Sondheimer JH, Mahajan SK. Cautopyreiophagia. Cause of life-threatening hyperkalemia in a patient undergoing hemodialysis. Am J Med. 1985;79(4):517-519. PMID: 4050837
32 . Litt AS. Pica in dialysis patients. Dial Transplant 1984; 13:764-7.
33 . Anderson JE, Akmal M, Kittur DS. Surgical complications of pica: report of a case of intestinal obstruction and a review of the literature. Am Surg. 1991;57(10):663-667. PMID: 1928984
34 . Viguria F, Lázato L, Miján A. Trastorno de la conducta alimentaria tipo pica, en nutrición y metabolismo en trastornos de la conducta alimentaria. Ed: Alberto Miján de la Torre. Editorial glosa. Barcelona, 2004: 71-90.
35 . Williamson D, Smith S, Barbin J. Terapia cognitivo conductual para los trastornos de la alimentación (Capítulo 6) en Manual para el Tratamiento Cognitivo-Conductual de los Trastornos Psicológicos, Vol 2. Editorial Siglo XXI, Segunda edición revisada. España 2008. http://www.ncbi.nlm.nih.gov/pubmed/?term=Espa%C3%B1a+2008
36 . Ojanen S, Oksa H, Pasternack A. Pica in renal patients. Dial Transplant 1990;19:429-33 http://www.ncbi.nlm.nih.gov/pubmed/?term=Dial+Transplant+1990%3B19%3A429-33
37 . Katsoufis C, Kertis M, McCullough J, Pereira T, Seeherunvong W. Pica: An important and unrecognized problem in pediatric dialysis patients. J Ren Nutr 2012; 22: 567-71. http://www.ncbi.nlm.nih.gov/pubmed/?term=J+Ren+Nutr+2012%3B+22%3A+567-71
38 . Obialo C, Crowell A, Wen X. Clay Pica Has No Hematologic or Metabolic Correlate in Chronic Hemodialysis Patients. J Ren Nutr 2001; 11:32¿6. http://www.ncbi.nlm.nih.gov/pubmed/?term=J+Ren+Nutr+2001%3B+11%3A32%E2%80%936
39 . Abu-Hamdan DK, Sondheimer JH, Mahajan SK. Cautopyreiophagia. Cause of life-threatening hyperkalemia in a patient undergoing hemodialysis. Am J Med 1985; 79(4): 517-9. http://www.ncbi.nlm.nih.gov/pubmed/?term=Am+J+Med+1985%3B+79%284%29%3A+517-9
40 . Fenves AZ, Cochran C, Scott C. Clay pica associated with profound hypophosphatemia and hypercalcemia in a chronic hemodialysis patient. J Renal Nutr 1995; 5:204-9.
41 . Iyasere O, Allington Y, Cafferkey M. Polyurethane foam pica in a patient with excessive interdialytic weight gain. BMJ Case Reports 2010; 1-3. http://www.ncbi.nlm.nih.gov/pubmed/?term=BMJ+Case+Reports+2010%3B+1-3
42 . Brener Z, Bergman M. Necrotizing pancreatitis due to hypercalcemia in a hemodialysis patient with pica. Clin Kidney J 2014; 7: 399¿401. http://www.ncbi.nlm.nih.gov/pubmed/?term=Clin+Kidney+J+2014%3B+7%3A+399%E2%80%93401
43 . Arrieta J, Bajo MA, Caravanca F, et al. Guías de práctica clínica en diálisis peritoneal. Nefrologia 2006; 26 (Suppl 4):8-23.
44 . Nyaruhucha CN. Food cravings, aversions and pica among pregnant women in Dar es Salaam, Tanzania. Tanzan J Health Res 2009; 11: 29-34. http://www.ncbi.nlm.nih.gov/pubmed/?term=Tanzan+J+Health+Res+2009%3B+11%3A+29-34
45 . Talkington KM, Gant NF, Scott DE, Pritchard JA. Effect of ingestion of starch and some clays on iron absorption. Am J Obstet Gynecol 1969; 198: 262-7
46 . Sontang C, Kettaneh A, Fain O, Eclache V, Thomas M. Rapid regression of prolonged pagophagia after treatment of iron deficiency. Presse Med 2001; 30(7):321-3. http://www.ncbi.nlm.nih.gov/pubmed/?term=Presse+Med+2001%3B+30%287%29%3A321-3
47 . Kapur D, Kailash Nath Agarwal, Sushma Sharma. Detecting Iron deficiency Anemia among Children (9-36 Months of Age) by Implementing a Screening Program in a Urban Slum. Indian Pediatrics 2002; 39:671-6. http://www.ncbi.nlm.nih.gov/pubmed/?term=Indian+Pediatrics+2002%3B+39%3A671-6
48 . Bothwell DN, Mair EA, Cable BB. Chronic ingestion of a zinc-based penny. Pediatrics 2003; 111: 689-91. http://www.ncbi.nlm.nih.gov/pubmed/?term=Pediatrics+2003%3B+111%3A+689-91
49 . Danford DE. Pica and zinc. The Lancet 1983; 185-95.
50 . Ferreri SJ, Tamm L, Wier KG. Using food aversion to decrease severe pica by a child with autism. Behav Modif 2006; 30: 456-71. http://www.ncbi.nlm.nih.gov/pubmed/?term=Behav+Modif+2006%3B+30%3A+456-71
51 . Lofts RH, Schroeder SR, Maier RH. Effects of Serum Zinc Supplementation on Pica Behavior of Persons With Mental Retardation. Am J Ment Retard 1990; 95(1):103-9 http://www.ncbi.nlm.nih.gov/pubmed/?term=Am+J+Ment+Retard+1990%3B+95%281%29%3A103-9
52 . Adams SL. The art of cytology. Biochemical functions of zinc. Zinc deficiency involvement in disease processes. Acceso 14 de octubre 2016: http://www.i2k.com/.suzanne/zinc.htm http://www.ncbi.nlm.nih.gov/pubmed/?term=htm
53 . Levenson CW. Zinc regulation of food intake: new insights on the role of neuropeptide Y. Nutr Rev. 2003; 61 (7): 247-249. http://www.ncbi.nlm.nih.gov/pubmed/?term=2003%3B+61+%287%29%3A+247-249
54 . Kutalek R, Wewalka G, Gundacker C, Auer H, Wilson J, Haluza D, et al. Geophagy and potential health implications: geohelminths, microbes and heavy metals. Transactions of the Royal Society of Tropical Medicine and Hygiene 2010; 104: 787-95 http://www.ncbi.nlm.nih.gov/pubmed/?term=Transactions+of+the+Royal+Society+of+Tropical+Medicine+and+Hygiene+2010%3B+104%3A+787-95
55 . Martín del Campo F, González-Espinoza L, Rojas-Campos E, Cueto-Manzano AM. Systemic inflammation limits the beneficial response to nutritional supplements in CAPD patients. J Am Soc Nephrol 2005; 16: 460A.
56 . Gracia-Iguacel C, González-Parra E, Pérez-Gómez I, Egido Ortiz A, et al. Prevalencia del síndrome de desgaste proteíco-energético y su asociación con mortalidad en pacientes en hemodiálisis en un centro en España. Nefrologia 2013;33(4):495-505 http://www.ncbi.nlm.nih.gov/pubmed/?term=Nefrologia+2013%3B33%284%29%3A495-505
57 . Garcia AK, Fonseca LF, Aroni P, Galvao CM. Strategies for thirst relief: integrative literature review. Rev Bras Enferm. 2016; 69 (6): 1215-22.
58 . Coltman C. Pagophagia and Iron Lack. JAMA 1969; 207(3): 513-6. http://www.ncbi.nlm.nih.gov/pubmed/?term=JAMA+1969%3B+207%283%29%3A+513-6.
59 . Orozco-González CN, et al. Pica in end-stage chronic kidney disease: Literature review. Nefrologia (Engl Ed). 2019;39(2):115-123. PMID: 30360922
60 . Orozco-González CN, et al. Pica is associated with lower willingness to change negative habits of diet and exercise, inadequate lifestyle, and less healthful food consumption in dialysis. Front Nutr. 2024;11:1402625. PMID: 39323565
¿Es usted profesional sanitario apto para prescribir o dispensar medicamentos?